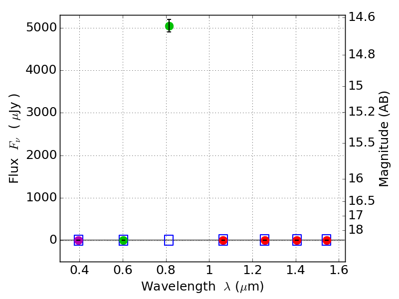
RXS0603+42-S ACS+IR detection object #5935

Color images and BPZ results
Catalog: 5935.cat
Black segments are analyzed here.   Roll mouse over color images to view segments.
Best viewed in a wide browser window (1200 pixels or more).   Download SED & P(z) plots to view larger versions.
In P(z) plots: Yellow lines mark the cluster redshift z = 0.228,  

Object #5935   x,y = (1968, 2012)   RA, Dec = (06:03:29.280, 42:09:27.00) = (90.87200, 42.15750)   BPZ = 0.033 [0.014--0.340]   type = 9.00 (SB2_B10)   stellarity = 0.96   chisq2 = 289.10   ODDS = 0.47   z_cluster = 0.228