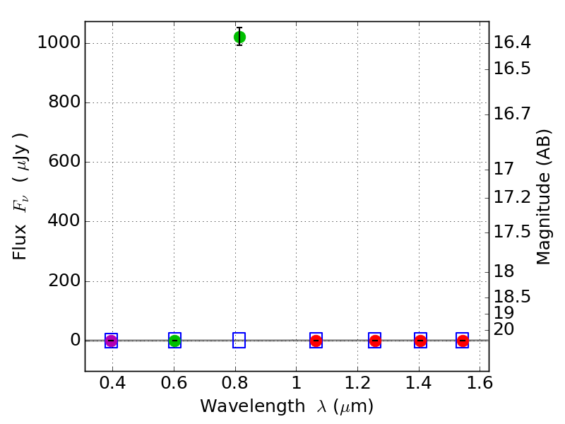
RXS0603+42-S ACS+IR detection object #5829

Color images and BPZ results
Catalog: 5829.cat
Black segments are analyzed here.   Roll mouse over color images to view segments.
Best viewed in a wide browser window (1200 pixels or more).   Download SED & P(z) plots to view larger versions.
In P(z) plots: Yellow lines mark the cluster redshift z = 0.228,  

Object #5829   x,y = (2000, 2021)   RA, Dec = (06:03:29.112, 42:09:27.72) = (90.87130, 42.15770)   BPZ = 0.092 [0.023--0.482]   type = 8.20 (SB1_B10 - SB2_B10)   stellarity = 1.00   chisq2 = 287.80   ODDS = 0.35   z_cluster = 0.228