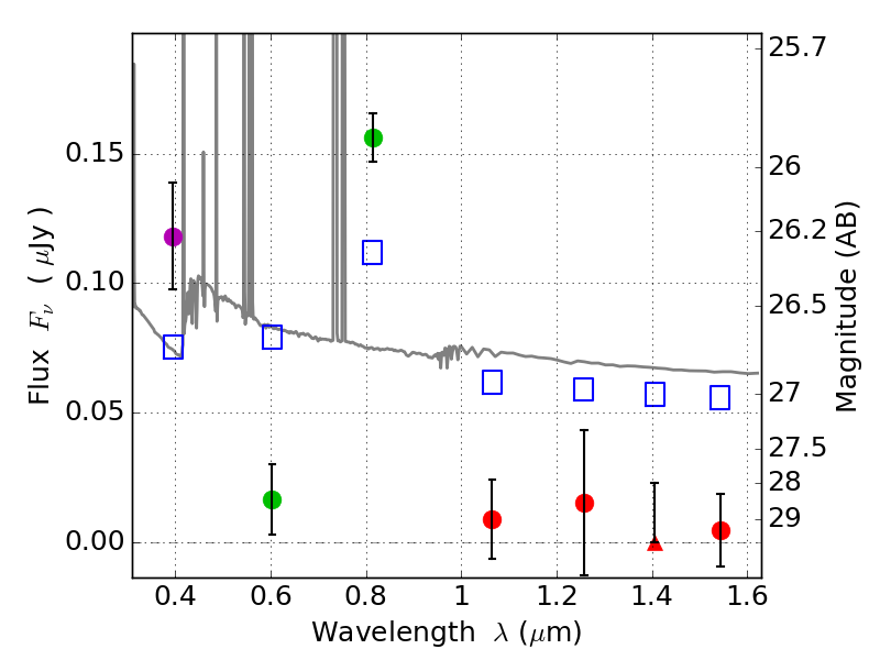
RXS0603+42-S ACS+IR detection object #5582

Color images and BPZ results
Catalog: 5582.cat
Black segments are analyzed here.   Roll mouse over color images to view segments.
Best viewed in a wide browser window (1200 pixels or more).   Download SED & P(z) plots to view larger versions.
In P(z) plots: Yellow lines mark the cluster redshift z = 0.228,  

Object #5582   x,y = (3359, 2229)   RA, Dec = (06:03:21.792, 42:09:39.96) = (90.84080, 42.16110)   BPZ = 0.116 [0.093--0.176]   type = 11.00 (SB11_A_0_l)   stellarity = 0.04   chisq2 = 15.52   ODDS = 0.93   z_cluster = 0.228