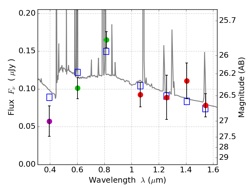
RXS0603+42-S ACS+IR detection object #5551

Color images and BPZ results
Catalog: 5551.cat
Black segments are analyzed here.   Roll mouse over color images to view segments.
Best viewed in a wide browser window (1200 pixels or more).   Download SED & P(z) plots to view larger versions.
In P(z) plots: Yellow lines mark the cluster redshift z = 0.228,  

Object #5551   x,y = (2621, 2237)   RA, Dec = (06:03:25.776, 42:09:40.68) = (90.85740, 42.16130)   BPZ = 0.197 [0.101--0.295]   type = 10.40 (SB3_B10 - SB11_A_0_l)   stellarity = 0.67   chisq2 = 1.54   ODDS = 0.66   z_cluster = 0.228