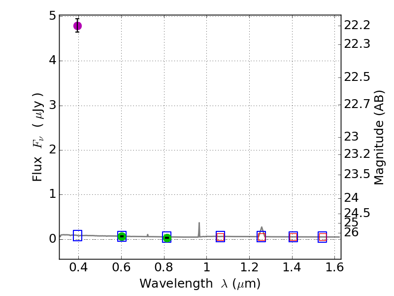
RXS0603+42-S ACS+IR detection object #4990

Color images and BPZ results
Catalog: 4990.cat
Black segments are analyzed here.   Roll mouse over color images to view segments.
Best viewed in a wide browser window (1200 pixels or more).   Download SED & P(z) plots to view larger versions.
In P(z) plots: Yellow lines mark the cluster redshift z = 0.228,  

Object #4990   x,y = (3973, 2516)   RA, Dec = (06:03:18.456, 42:09:57.24) = (90.82690, 42.16590)   BPZ = 1.594 [1.280--2.173]   type = 11.00 (SB11_A_0_l)   stellarity = 1.00   chisq2 = 1057.00   ODDS = 0.36   z_cluster = 0.228