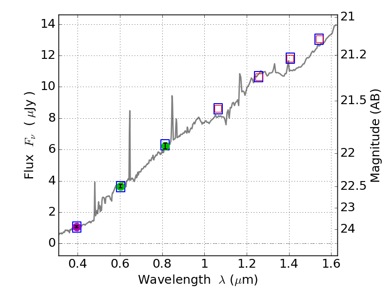
RXS0603+42-S ACS+IR detection object #4727

Color images and BPZ results
Catalog: 4727.cat
Black segments are analyzed here.   Roll mouse over color images to view segments.
Best viewed in a wide browser window (1200 pixels or more).   Download SED & P(z) plots to view larger versions.
In P(z) plots: Yellow lines mark the cluster redshift z = 0.228,  

Object #4727   x,y = (3781, 2642)   RA, Dec = (06:03:19.512, 42:10:04.80) = (90.83130, 42.16800)   BPZ = 0.295 [0.086--0.422]   type = 6.70 (Scd_B10 - Sbc_B10)   stellarity = 0.03   chisq2 = 0.01   ODDS = 0.40   z_cluster = 0.228