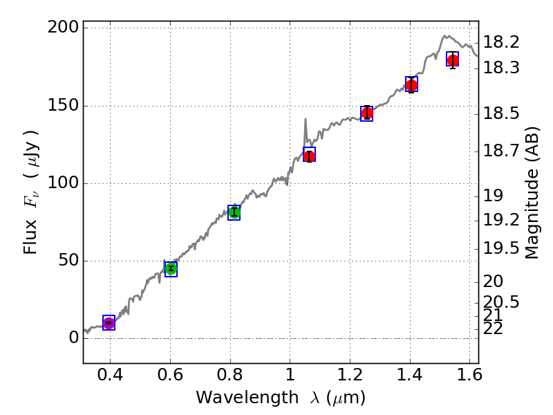
RXS0603+42-S ACS+IR detection object #4558

Color images and BPZ results
Catalog: 4558.cat
Black segments are analyzed here.   Roll mouse over color images to view segments.
Best viewed in a wide browser window (1200 pixels or more).   Download SED & P(z) plots to view larger versions.
In P(z) plots: Yellow lines mark the cluster redshift z = 0.228,  

Object #4558   x,y = (2716, 2651)   RA, Dec = (06:03:25.248, 42:10:05.52) = (90.85520, 42.16820)   BPZ = 0.158 [0.095--0.275]   type = 5.90 (Sbc_B10 - ES0_B10)   stellarity = 0.03   chisq2 = 0.01   ODDS = 0.72   z_cluster = 0.228