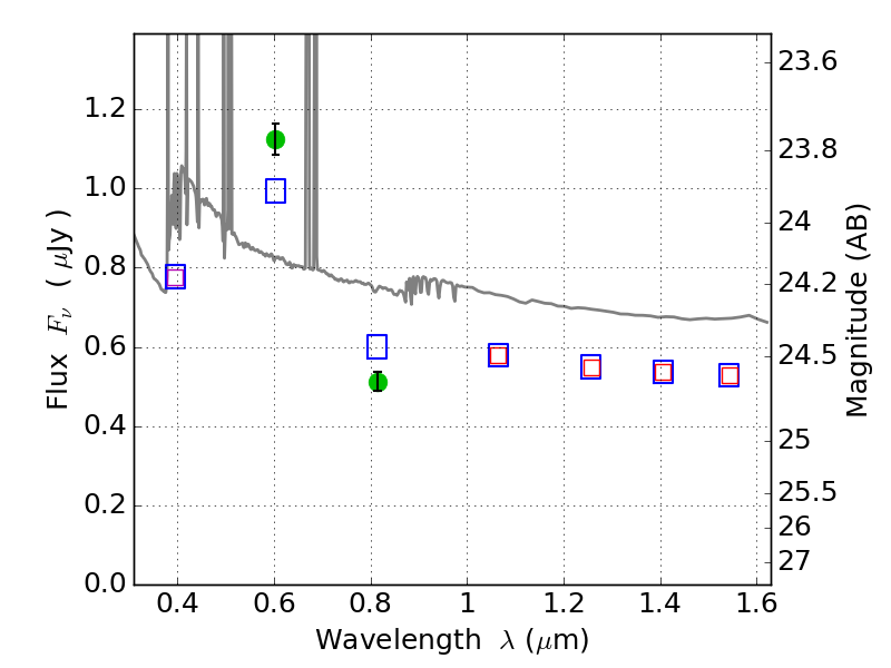
RXS0603+42-S ACS+IR detection object #4171

Color images and BPZ results
Catalog: 4171.cat
Black segments are analyzed here.   Roll mouse over color images to view segments.
Best viewed in a wide browser window (1200 pixels or more).   Download SED & P(z) plots to view larger versions.
In P(z) plots: Yellow lines mark the cluster redshift z = 0.228,  

Object #4171   x,y = (4262, 2873)   RA, Dec = (06:03:16.896, 42:10:18.84) = (90.82040, 42.17190)   BPZ = 0.018 [0.010--0.038]   type = 11.00 (SB11_A_0_l)   stellarity = 0.95   chisq2 = 4.44   ODDS = 1.00   z_cluster = 0.228