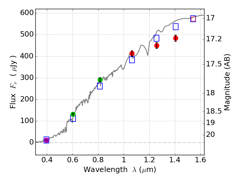
RXS0603+42-S ACS+IR detection object #4080

Color images and BPZ results
Catalog: 4080.cat
Black segments are analyzed here.   Roll mouse over color images to view segments.
Best viewed in a wide browser window (1200 pixels or more).   Download SED & P(z) plots to view larger versions.
In P(z) plots: Yellow lines mark the cluster redshift z = 0.228,  

Object #4080   x,y = (1927, 2991)   RA, Dec = (06:03:29.520, 42:10:25.68) = (90.87300, 42.17380)   BPZ = 0.387 [0.361--0.410]   type = 4.00 (Ell4_A_0)   stellarity = 0.92   chisq2 = 1.25   ODDS = 1.00   z_cluster = 0.228