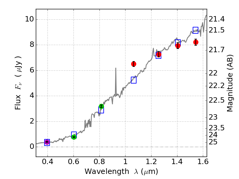
RXS0603+42-S ACS+IR detection object #3760

Color images and BPZ results
Catalog: 3760.cat
Black segments are analyzed here.   Roll mouse over color images to view segments.
Best viewed in a wide browser window (1200 pixels or more).   Download SED & P(z) plots to view larger versions.
In P(z) plots: Yellow lines mark the cluster redshift z = 0.228,  

Object #3760   x,y = (2297, 3026)   RA, Dec = (06:03:27.504, 42:10:27.84) = (90.86460, 42.17440)   BPZ = 0.851 [0.768--0.905]   type = 6.20 (Sbc_B10 - Scd_B10)   stellarity = 0.98   chisq2 = 1.59   ODDS = 0.95   z_cluster = 0.228