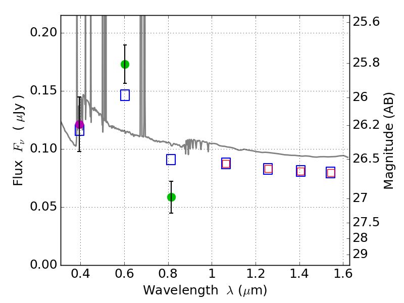
RXS0603+42-S ACS+IR detection object #2830

Color images and BPZ results
Catalog: 2830.cat
Black segments are analyzed here.   Roll mouse over color images to view segments.
Best viewed in a wide browser window (1200 pixels or more).   Download SED & P(z) plots to view larger versions.
In P(z) plots: Yellow lines mark the cluster redshift z = 0.228,  

Object #2830   x,y = (3947, 3435)   RA, Dec = (06:03:18.600, 42:10:52.32) = (90.82750, 42.18120)   BPZ = 0.027 [0.014--2.727]   type = 11.00 (SB11_A_0_l)   stellarity = 0.41   chisq2 = 5.69   ODDS = 0.28   z_cluster = 0.228