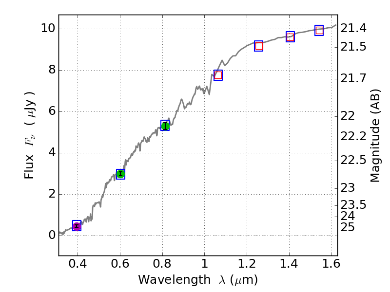
RXS0603+42-S ACS+IR detection object #1234

Color images and BPZ results
Catalog: 1234.cat
Black segments are analyzed here.   Roll mouse over color images to view segments.
Best viewed in a wide browser window (1200 pixels or more).   Download SED & P(z) plots to view larger versions.
In P(z) plots: Yellow lines mark the cluster redshift z = 0.228,  

Object #1234   x,y = (1797, 3959)   RA, Dec = (06:03:30.216, 42:11:24.00) = (90.87590, 42.19000)   BPZ = 0.178 [0.098--0.241]   type = 3.20 (Ell5_A_0 - Ell4_A_0)   stellarity = 0.03   chisq2 = 0.01   ODDS = 0.80   z_cluster = 0.228