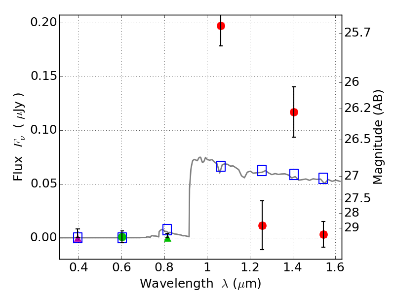
RXS0603+42-N IR detection object #866

Color images and BPZ results
Catalog: 866.cat
Black segments are analyzed here.   Roll mouse over color images to view segments.
Best viewed in a wide browser window (1200 pixels or more).   Download SED & P(z) plots to view larger versions.
In P(z) plots: Yellow lines mark the cluster redshift z = 0.228,  

Object #866   x,y = (1853, 1326)   RA, Dec = (06:03:17.640, 42:14:37.32) = (90.82350, 42.24370)   BPZ = 6.547 [6.344--6.906]   type = 11.00 (SB11_A_0_l)   stellarity = 0.77   chisq2 = 18.76   ODDS = 0.95   z_cluster = 0.228