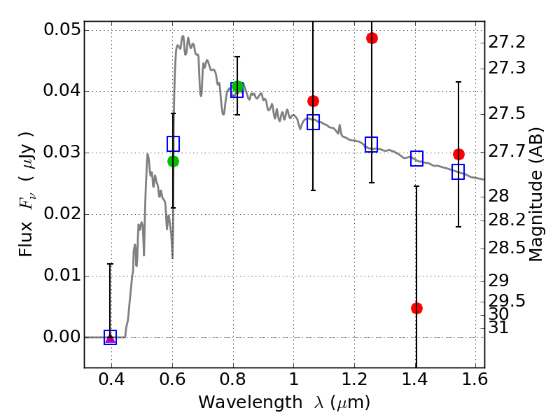
RXS0603+42-N IR detection object #727

Color images and BPZ results
Catalog: 727.cat
Black segments are analyzed here.   Roll mouse over color images to view segments.
Best viewed in a wide browser window (1200 pixels or more).   Download SED & P(z) plots to view larger versions.
In P(z) plots: Yellow lines mark the cluster redshift z = 0.228,  

Object #727   x,y = (4108, 1595)   RA, Dec = (06:03:05.448, 42:14:53.52) = (90.77270, 42.24820)   BPZ = 3.963 [0.179--4.481]   type = 10.70 (SB11_A_0_l - SB3_B10)   stellarity = 0.41   chisq2 = 0.56   ODDS = 0.32   z_cluster = 0.228