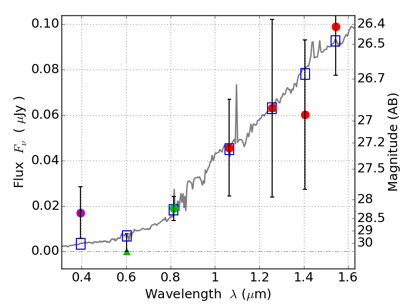
RXS0603+42-N IR detection object #724

Color images and BPZ results
Catalog: 724.cat
Black segments are analyzed here.   Roll mouse over color images to view segments.
Best viewed in a wide browser window (1200 pixels or more).   Download SED & P(z) plots to view larger versions.
In P(z) plots: Yellow lines mark the cluster redshift z = 0.228,  

Object #724   x,y = (1705, 1600)   RA, Dec = (06:03:18.432, 42:14:53.88) = (90.82680, 42.24830)   BPZ = 1.191 [0.634--5.971]   type = 6.20 (Sbc_B10 - Scd_B10)   stellarity = 0.54   chisq2 = 0.49   ODDS = 0.18   z_cluster = 0.228