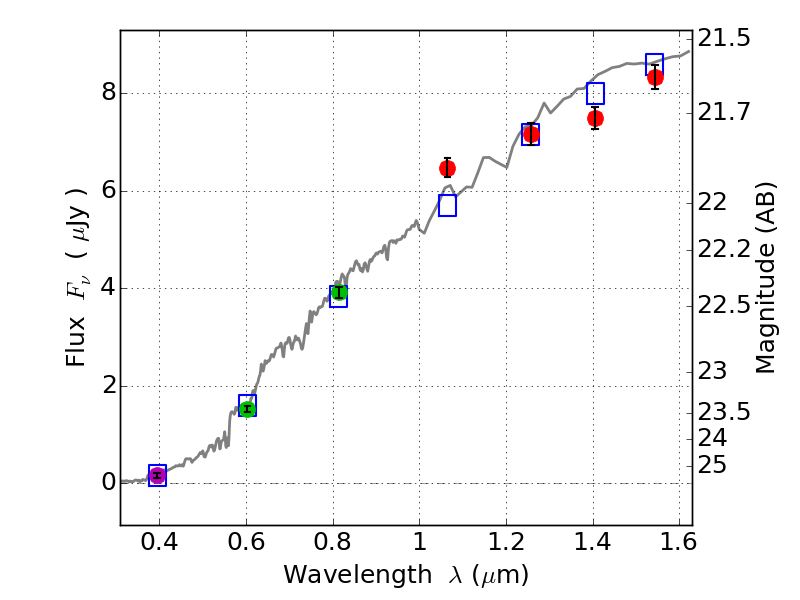
RXS0603+42-N IR detection object #674

Color images and BPZ results
Catalog: 674.cat
Black segments are analyzed here.   Roll mouse over color images to view segments.
Best viewed in a wide browser window (1200 pixels or more).   Download SED & P(z) plots to view larger versions.
In P(z) plots: Yellow lines mark the cluster redshift z = 0.228,  

Object #674   x,y = (3267, 1653)   RA, Dec = (06:03:10.008, 42:14:56.76) = (90.79170, 42.24910)   BPZ = 0.406 [0.269--0.434]   type = 4.00 (Ell4_A_0)   stellarity = 0.93   chisq2 = 0.64   ODDS = 0.54   z_cluster = 0.228