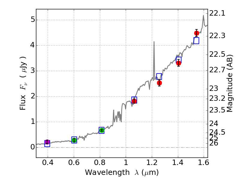
RXS0603+42-N IR detection object #636

Color images and BPZ results
Catalog: 636.cat
Black segments are analyzed here.   Roll mouse over color images to view segments.
Best viewed in a wide browser window (1200 pixels or more).   Download SED & P(z) plots to view larger versions.
In P(z) plots: Yellow lines mark the cluster redshift z = 0.228,  

Object #636   x,y = (3639, 1747)   RA, Dec = (06:03:07.992, 42:15:02.52) = (90.78330, 42.25070)   BPZ = 1.434 [1.223--1.592]   type = 6.20 (Sbc_B10 - Scd_B10)   stellarity = 0.00   chisq2 = 0.45   ODDS = 0.64   z_cluster = 0.228