RXS0603+42-N IR detection object #617

Color images and BPZ results
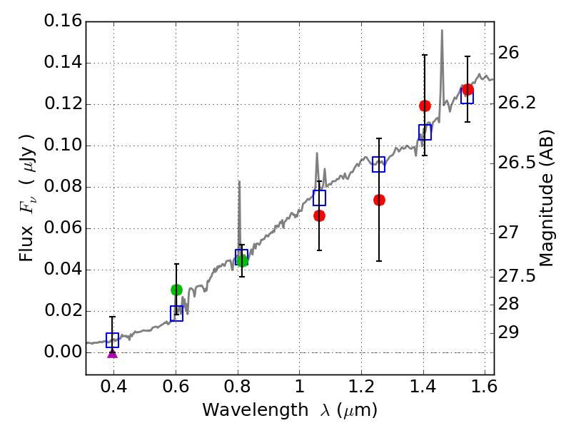
Catalog: 617.cat
Black segments are analyzed here.   Roll mouse over color images to view segments.
Best viewed in a wide browser window (1200 pixels or more).   Download SED & P(z) plots to view larger versions.
In P(z) plots: Yellow lines mark the cluster redshift z = 0.228,  

Object #617   x,y = (3895, 1824)   RA, Dec = (06:03:06.600, 42:15:07.20) = (90.77750, 42.25200)   BPZ = 0.613 [0.324--3.340]   type = 6.40 (Sbc_B10 - Scd_B10)   stellarity = 0.00   chisq2 = 0.39   ODDS = 0.08   z_cluster = 0.228