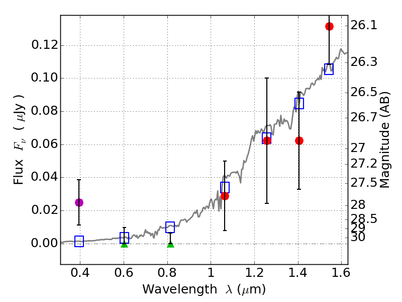
RXS0603+42-N IR detection object #567

Color images and BPZ results
Catalog: 567.cat
Black segments are analyzed here.   Roll mouse over color images to view segments.
Best viewed in a wide browser window (1200 pixels or more).   Download SED & P(z) plots to view larger versions.
In P(z) plots: Yellow lines mark the cluster redshift z = 0.228,  

Object #567   x,y = (1645, 1924)   RA, Dec = (06:03:18.768, 42:15:13.32) = (90.82820, 42.25370)   BPZ = 1.642 [1.242--10.483]   type = 5.50 (Sbc_B10 - ES0_B10)   stellarity = 0.05   chisq2 = 1.32   ODDS = 0.12   z_cluster = 0.228