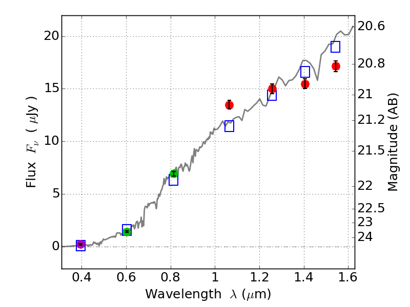
RXS0603+42-N IR detection object #484

Color images and BPZ results
Catalog: 484.cat
Black segments are analyzed here.   Roll mouse over color images to view segments.
Best viewed in a wide browser window (1200 pixels or more).   Download SED & P(z) plots to view larger versions.
In P(z) plots: Yellow lines mark the cluster redshift z = 0.228,  

Object #484   x,y = (2049, 2062)   RA, Dec = (06:03:16.584, 42:15:21.24) = (90.81910, 42.25590)   BPZ = 0.707 [0.678--0.744]   type = 4.00 (Ell4_A_0)   stellarity = 0.98   chisq2 = 1.32   ODDS = 1.00   z_cluster = 0.228