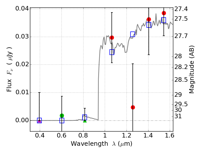
RXS0603+42-N IR detection object #415

Color images and BPZ results
Catalog: 415.cat
Black segments are analyzed here.   Roll mouse over color images to view segments.
Best viewed in a wide browser window (1200 pixels or more).   Download SED & P(z) plots to view larger versions.
In P(z) plots: Yellow lines mark the cluster redshift z = 0.228,  

Object #415   x,y = (3020, 2322)   RA, Dec = (06:03:11.352, 42:15:37.08) = (90.79730, 42.26030)   BPZ = 6.735 [1.005--7.878]   type = 8.00 (SB1_B10)   stellarity = 0.00   chisq2 = 0.82   ODDS = 0.31   z_cluster = 0.228