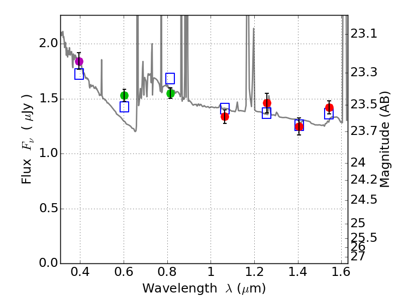
RXS0603+42-N IR detection object #262

Color images and BPZ results
Catalog: 262.cat
Black segments are analyzed here.   Roll mouse over color images to view segments.
Best viewed in a wide browser window (1200 pixels or more).   Download SED & P(z) plots to view larger versions.
In P(z) plots: Yellow lines mark the cluster redshift z = 0.228,  

Object #262   x,y = (3213, 2586)   RA, Dec = (06:03:10.296, 42:15:52.92) = (90.79290, 42.26470)   BPZ = 0.780 [0.566--0.831]   type = 10.80 (SB11_A_0_l - SB3_B10)   stellarity = 0.02   chisq2 = 0.86   ODDS = 0.67   z_cluster = 0.228