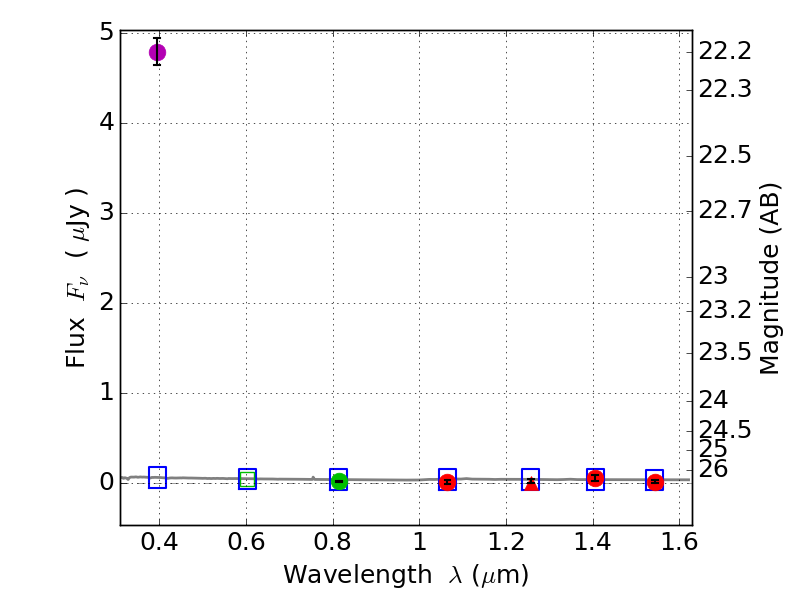
RXS0603+42-N IR detection object #969

Color images and BPZ results
Catalog: 969.cat
Black segments are analyzed here.   Roll mouse over color images to view segments.
Best viewed in a wide browser window (1200 pixels or more).   Download SED & P(z) plots to view larger versions.
In P(z) plots: Yellow lines mark the cluster redshift z = 0.228,  

Object #969   x,y = (3611, 3328)   RA, Dec = (06:03:08.136, 42:16:37.20) = (90.78390, 42.27700)   BPZ = 1.697 [0.708--2.542]   type = 11.00 (SB11_A_0_l)   stellarity = 0.94   chisq2 = 349.80   ODDS = 0.30   z_cluster = 0.228