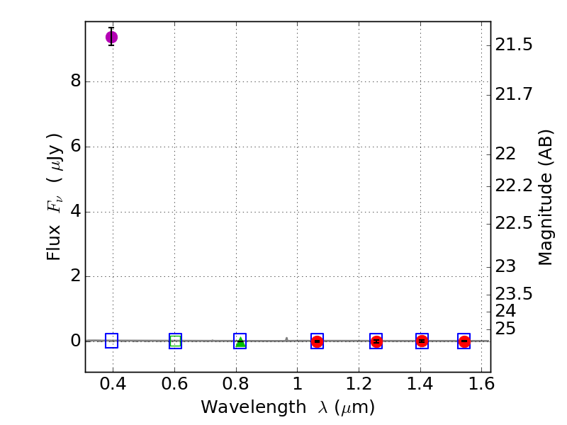
RXS0603+42-N IR detection object #968

Color images and BPZ results
Catalog: 968.cat
Black segments are analyzed here.   Roll mouse over color images to view segments.
Best viewed in a wide browser window (1200 pixels or more).   Download SED & P(z) plots to view larger versions.
In P(z) plots: Yellow lines mark the cluster redshift z = 0.228,  

Object #968   x,y = (3588, 3322)   RA, Dec = (06:03:08.256, 42:16:36.84) = (90.78440, 42.27690)   BPZ = 1.588 [0.309--7.158]   type = 11.00 (SB11_A_0_l)   stellarity = 1.00   chisq2 = 381.80   ODDS = 0.08   z_cluster = 0.228