RXS0603+42-N IR detection object #9023

Color images and BPZ results
Catalog: 9023.cat
Black segments are analyzed here.   Roll mouse over color images to view segments.
Best viewed in a wide browser window (1200 pixels or more).   Download SED & P(z) plots to view larger versions.
In P(z) plots: Yellow lines mark the cluster redshift z = 0.228,  

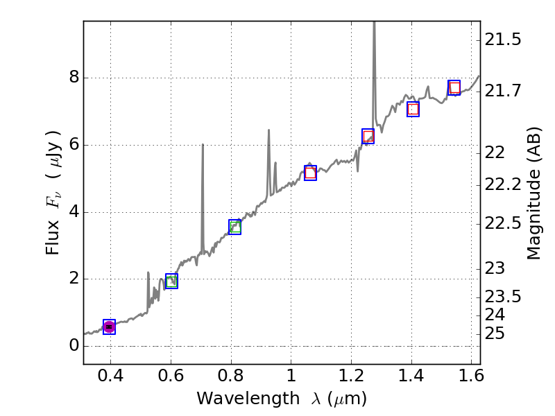
Object #9023   x,y = (3677, 394)   RA, Dec = (06:03:07.800, 42:13:41.16) = (90.78250, 42.22810)   BPZ = 0.406 [0.051--0.865]   type = 6.70 (Scd_B10 - Sbc_B10)   stellarity = 0.67   chisq2 = 990.00   ODDS = 0.20   z_cluster = 0.228