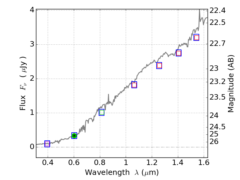
RXS0603+42-N IR detection object #8457

Color images and BPZ results
Catalog: 8457.cat
Black segments are analyzed here.   Roll mouse over color images to view segments.
Best viewed in a wide browser window (1200 pixels or more).   Download SED & P(z) plots to view larger versions.
In P(z) plots: Yellow lines mark the cluster redshift z = 0.228,  

Object #8457   x,y = (2574, 662)   RA, Dec = (06:03:13.752, 42:13:57.36) = (90.80730, 42.23260)   BPZ = 0.730 [0.183--4.375]   type = 6.00 (Sbc_B10)   stellarity = 0.99   chisq2 = 990.00   ODDS = 0.09   z_cluster = 0.228