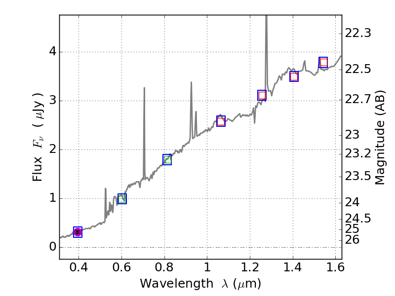
RXS0603+42-N IR detection object #7942

Color images and BPZ results
Catalog: 7942.cat
Black segments are analyzed here.   Roll mouse over color images to view segments.
Best viewed in a wide browser window (1200 pixels or more).   Download SED & P(z) plots to view larger versions.
In P(z) plots: Yellow lines mark the cluster redshift z = 0.228,  

Object #7942   x,y = (3977, 857)   RA, Dec = (06:03:06.168, 42:14:09.24) = (90.77570, 42.23590)   BPZ = 0.413 [0.051--0.865]   type = 6.80 (Scd_B10 - Sbc_B10)   stellarity = 0.74   chisq2 = 990.00   ODDS = 0.20   z_cluster = 0.228