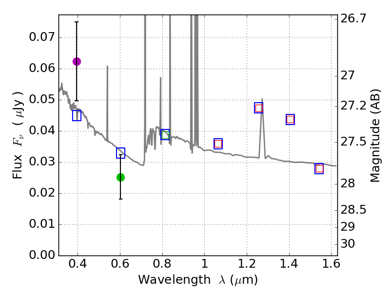
RXS0603+42-N IR detection object #7673

Color images and BPZ results
Catalog: 7673.cat
Black segments are analyzed here.   Roll mouse over color images to view segments.
Best viewed in a wide browser window (1200 pixels or more).   Download SED & P(z) plots to view larger versions.
In P(z) plots: Yellow lines mark the cluster redshift z = 0.228,  

Object #7673   x,y = (3693, 969)   RA, Dec = (06:03:07.704, 42:14:15.72) = (90.78210, 42.23770)   BPZ = 0.933 [0.538--2.394]   type = 11.00 (SB11_A_0_l)   stellarity = 0.36   chisq2 = 2.76   ODDS = 0.11   z_cluster = 0.228