RXS0603+42-N IR detection object #7572

Color images and BPZ results
Catalog: 7572.cat
Black segments are analyzed here.   Roll mouse over color images to view segments.
Best viewed in a wide browser window (1200 pixels or more).   Download SED & P(z) plots to view larger versions.
In P(z) plots: Yellow lines mark the cluster redshift z = 0.228,  

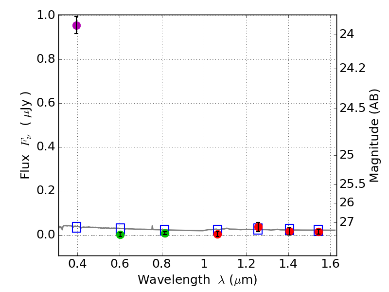
Object #7572   x,y = (2068, 1008)   RA, Dec = (06:03:16.488, 42:14:18.24) = (90.81870, 42.23840)   BPZ = 1.696 [1.037--2.243]   type = 11.00 (SB11_A_0_l)   stellarity = 0.65   chisq2 = 139.30   ODDS = 0.41   z_cluster = 0.228