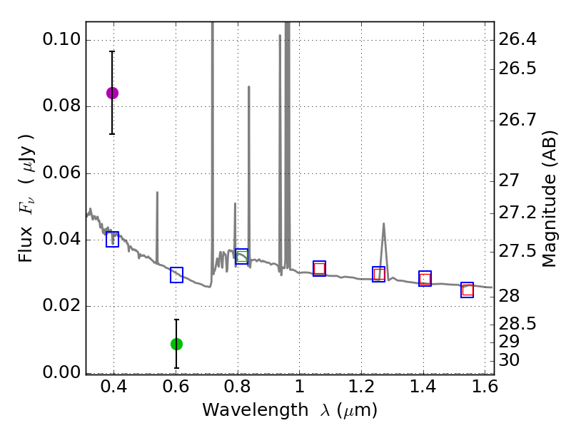
RXS0603+42-N IR detection object #7422

Color images and BPZ results
Catalog: 7422.cat
Black segments are analyzed here.   Roll mouse over color images to view segments.
Best viewed in a wide browser window (1200 pixels or more).   Download SED & P(z) plots to view larger versions.
In P(z) plots: Yellow lines mark the cluster redshift z = 0.228,  

Object #7422   x,y = (3736, 1061)   RA, Dec = (06:03:07.464, 42:14:21.48) = (90.78110, 42.23930)   BPZ = 0.931 [0.680--2.251]   type = 11.00 (SB11_A_0_l)   stellarity = 0.46   chisq2 = 18.90   ODDS = 0.14   z_cluster = 0.228