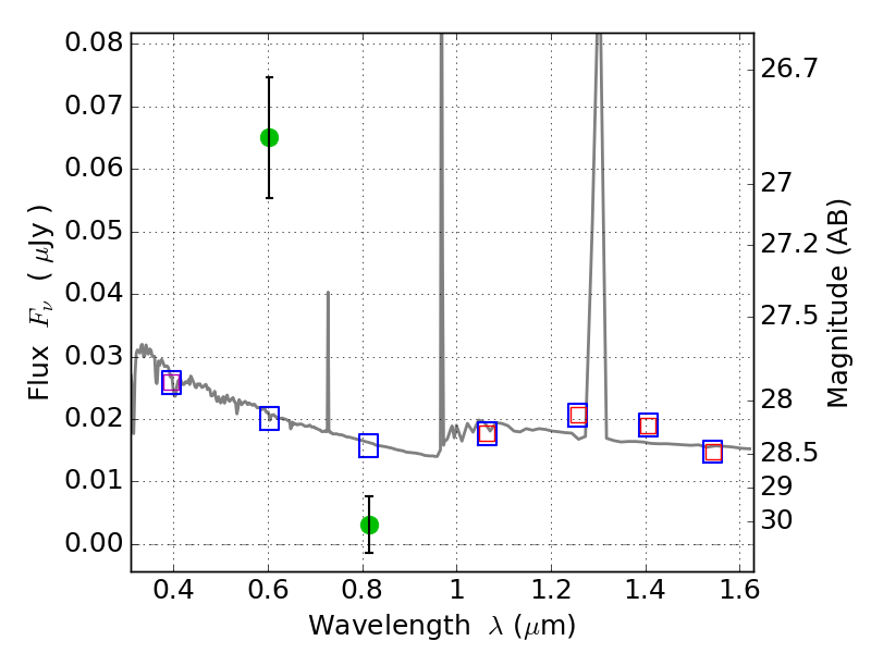
RXS0603+42-N IR detection object #7283

Color images and BPZ results
Catalog: 7283.cat
Black segments are analyzed here.   Roll mouse over color images to view segments.
Best viewed in a wide browser window (1200 pixels or more).   Download SED & P(z) plots to view larger versions.
In P(z) plots: Yellow lines mark the cluster redshift z = 0.228,  

Object #7283   x,y = (1599, 1117)   RA, Dec = (06:03:19.008, 42:14:24.72) = (90.82920, 42.24020)   BPZ = 1.597 [0.358--3.522]   type = 11.00 (SB11_A_0_l)   stellarity = 0.73   chisq2 = 27.60   ODDS = 0.12   z_cluster = 0.228