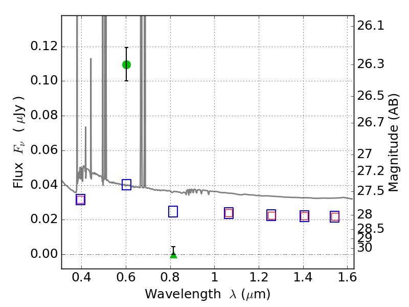
RXS0603+42-N IR detection object #7189

Color images and BPZ results
Catalog: 7189.cat
Black segments are analyzed here.   Roll mouse over color images to view segments.
Best viewed in a wide browser window (1200 pixels or more).   Download SED & P(z) plots to view larger versions.
In P(z) plots: Yellow lines mark the cluster redshift z = 0.228,  

Object #7189   x,y = (1524, 1148)   RA, Dec = (06:03:19.416, 42:14:26.52) = (90.83090, 42.24070)   BPZ = 0.023 [0.011--2.799]   type = 11.00 (SB11_A_0_l)   stellarity = 0.74   chisq2 = 70.49   ODDS = 0.63   z_cluster = 0.228