RXS0603+42-N IR detection object #6989

Color images and BPZ results
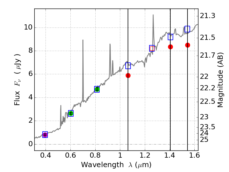
Catalog: 6989.cat
Black segments are analyzed here.   Roll mouse over color images to view segments.
Best viewed in a wide browser window (1200 pixels or more).   Download SED & P(z) plots to view larger versions.
In P(z) plots: Yellow lines mark the cluster redshift z = 0.228,  

Object #6989   x,y = (1820, 1124)   RA, Dec = (06:03:17.832, 42:14:25.08) = (90.82430, 42.24030)   BPZ = 0.403 [0.124--0.512]   type = 6.80 (Scd_B10 - Sbc_B10)   stellarity = 0.00   chisq2 = 0.00   ODDS = 0.43   z_cluster = 0.228