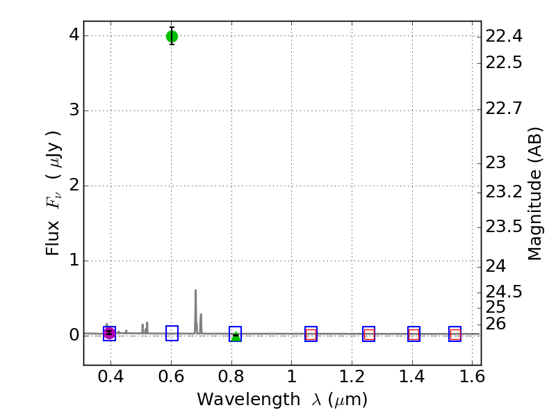
RXS0603+42-N IR detection object #67

Color images and BPZ results
Catalog: 67.cat
Black segments are analyzed here.   Roll mouse over color images to view segments.
Best viewed in a wide browser window (1200 pixels or more).   Download SED & P(z) plots to view larger versions.
In P(z) plots: Yellow lines mark the cluster redshift z = 0.228,  

Object #67   x,y = (2329, 3793)   RA, Dec = (06:03:15.072, 42:17:05.28) = (90.81280, 42.28480)   BPZ = 0.036 [0.039--2.501]   type = 11.00 (SB11_A_0_l)   stellarity = 1.00   chisq2 = 1139.00   ODDS = 0.05   z_cluster = 0.228