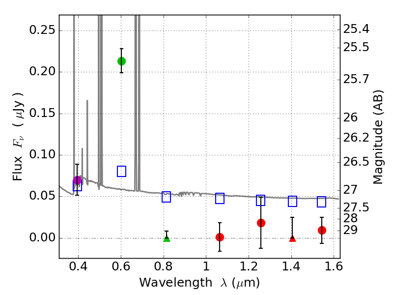
RXS0603+42-N IR detection object #6661

Color images and BPZ results
Catalog: 6661.cat
Black segments are analyzed here.   Roll mouse over color images to view segments.
Best viewed in a wide browser window (1200 pixels or more).   Download SED & P(z) plots to view larger versions.
In P(z) plots: Yellow lines mark the cluster redshift z = 0.228,  

Object #6661   x,y = (3546, 1286)   RA, Dec = (06:03:08.496, 42:14:34.80) = (90.78540, 42.24300)   BPZ = 0.021 [0.010--0.048]   type = 11.00 (SB11_A_0_l)   stellarity = 0.06   chisq2 = 28.17   ODDS = 1.00   z_cluster = 0.228