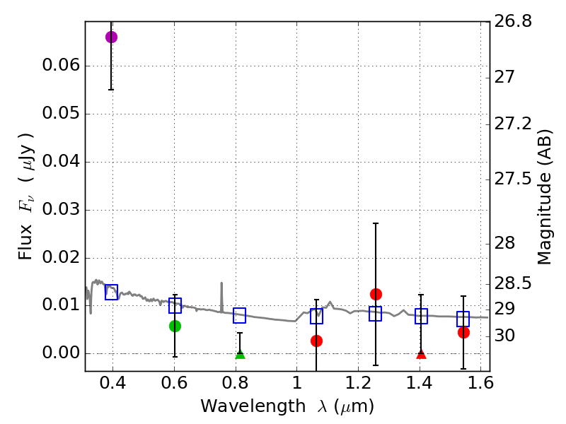
RXS0603+42-N IR detection object #6391

Color images and BPZ results
Catalog: 6391.cat
Black segments are analyzed here.   Roll mouse over color images to view segments.
Best viewed in a wide browser window (1200 pixels or more).   Download SED & P(z) plots to view larger versions.
In P(z) plots: Yellow lines mark the cluster redshift z = 0.228,  

Object #6391   x,y = (2353, 1375)   RA, Dec = (06:03:14.952, 42:14:40.20) = (90.81230, 42.24450)   BPZ = 1.699 [0.388--5.111]   type = 11.00 (SB11_A_0_l)   stellarity = 0.40   chisq2 = 6.88   ODDS = 0.16   z_cluster = 0.228