RXS0603+42-N IR detection object #6351

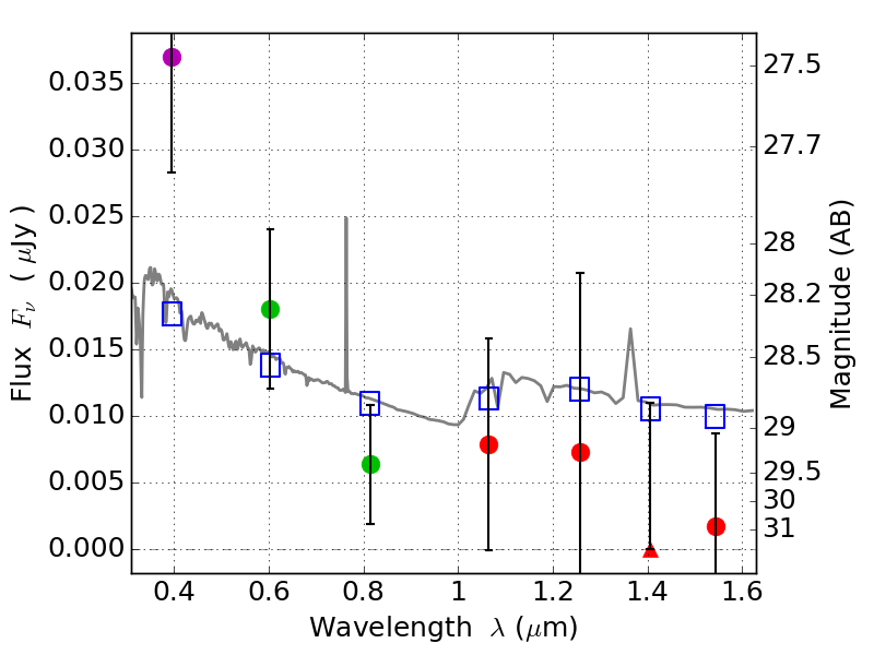
Color images and BPZ results
Catalog: 6351.cat
Black segments are analyzed here.   Roll mouse over color images to view segments.
Best viewed in a wide browser window (1200 pixels or more).   Download SED & P(z) plots to view larger versions.
In P(z) plots: Yellow lines mark the cluster redshift z = 0.228,  

Object #6351   x,y = (3001, 1387)   RA, Dec = (06:03:11.448, 42:14:40.92) = (90.79770, 42.24470)   BPZ = 1.734 [0.310--2.846]   type = 11.00 (SB11_A_0_l)   stellarity = 0.35   chisq2 = 2.22   ODDS = 0.22   z_cluster = 0.228