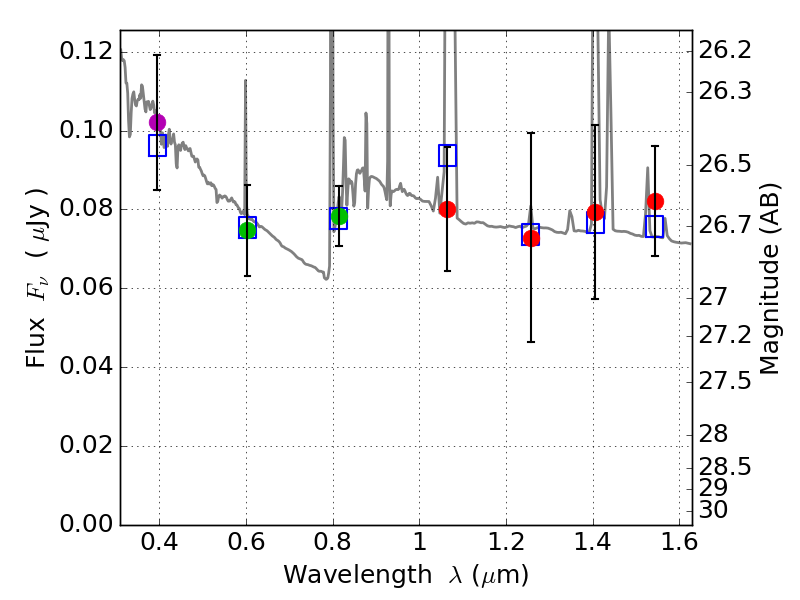
RXS0603+42-N IR detection object #6216

Color images and BPZ results
Catalog: 6216.cat
Black segments are analyzed here.   Roll mouse over color images to view segments.
Best viewed in a wide browser window (1200 pixels or more).   Download SED & P(z) plots to view larger versions.
In P(z) plots: Yellow lines mark the cluster redshift z = 0.228,  

Object #6216   x,y = (3875, 1431)   RA, Dec = (06:03:06.720, 42:14:43.44) = (90.77800, 42.24540)   BPZ = 1.136 [0.574--2.566]   type = 10.70 (SB11_A_0_l - SB3_B10)   stellarity = 0.05   chisq2 = 0.24   ODDS = 0.13   z_cluster = 0.228