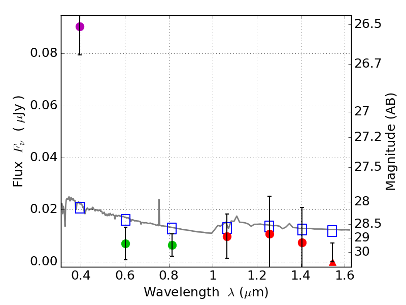
RXS0603+42-N IR detection object #6194

Color images and BPZ results
Catalog: 6194.cat
Black segments are analyzed here.   Roll mouse over color images to view segments.
Best viewed in a wide browser window (1200 pixels or more).   Download SED & P(z) plots to view larger versions.
In P(z) plots: Yellow lines mark the cluster redshift z = 0.228,  

Object #6194   x,y = (3334, 1443)   RA, Dec = (06:03:09.648, 42:14:44.16) = (90.79020, 42.24560)   BPZ = 1.701 [0.725--2.408]   type = 11.00 (SB11_A_0_l)   stellarity = 0.59   chisq2 = 11.58   ODDS = 0.37   z_cluster = 0.228