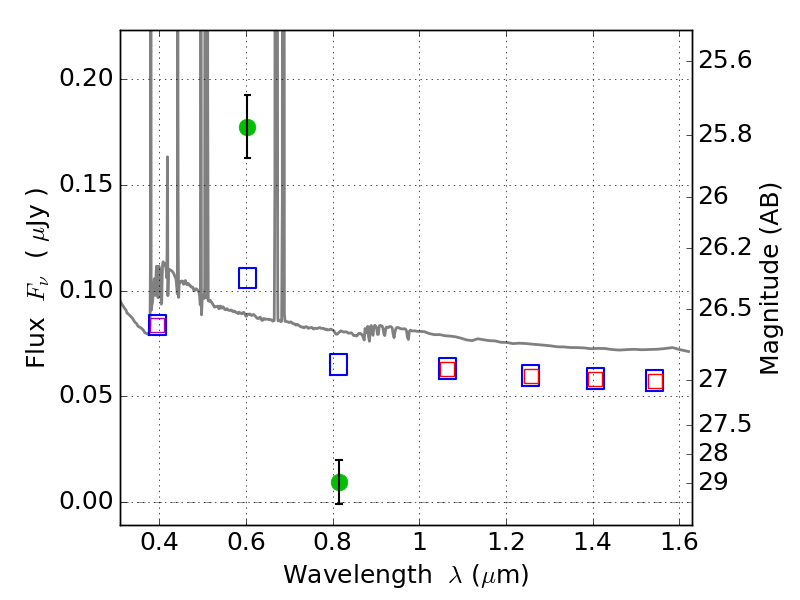
RXS0603+42-N IR detection object #6069

Color images and BPZ results
Catalog: 6069.cat
Black segments are analyzed here.   Roll mouse over color images to view segments.
Best viewed in a wide browser window (1200 pixels or more).   Download SED & P(z) plots to view larger versions.
In P(z) plots: Yellow lines mark the cluster redshift z = 0.228,  

Object #6069   x,y = (1029, 1489)   RA, Dec = (06:03:22.104, 42:14:47.04) = (90.84210, 42.24640)   BPZ = 0.022 [0.010--2.180]   type = 11.00 (SB11_A_0_l)   stellarity = 0.91   chisq2 = 39.16   ODDS = 0.90   z_cluster = 0.228