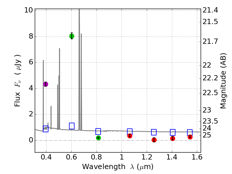
RXS0603+42-N IR detection object #5986

Color images and BPZ results
Catalog: 5986.cat
Black segments are analyzed here.   Roll mouse over color images to view segments.
Best viewed in a wide browser window (1200 pixels or more).   Download SED & P(z) plots to view larger versions.
In P(z) plots: Yellow lines mark the cluster redshift z = 0.228,  

Object #5986   x,y = (3438, 1420)   RA, Dec = (06:03:09.072, 42:14:43.08) = (90.78780, 42.24530)   BPZ = 0.015 [0.010--0.033]   type = 11.00 (SB11_A_0_l)   stellarity = 0.00   chisq2 = 314.00   ODDS = 0.99   z_cluster = 0.228