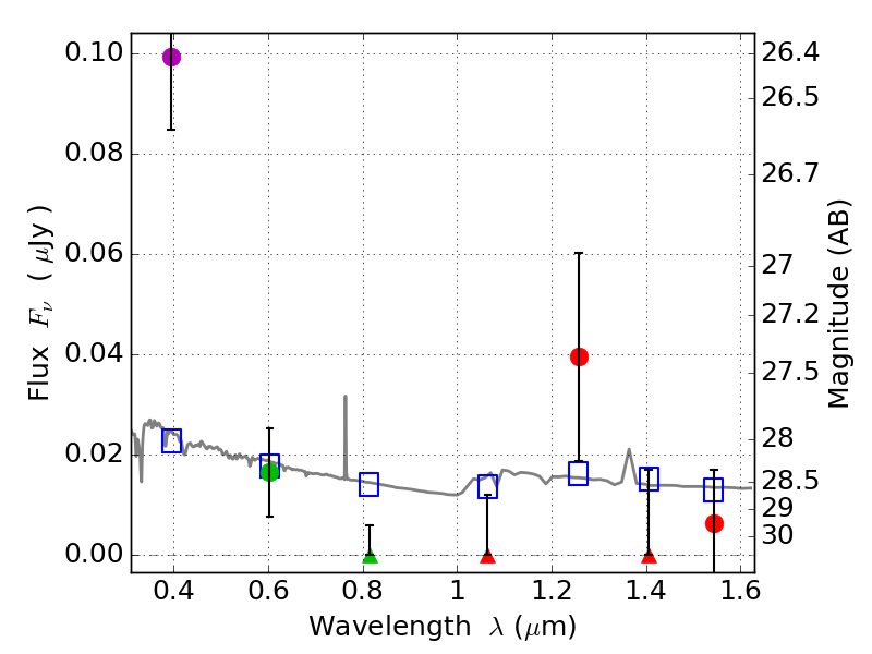
RXS0603+42-N IR detection object #5889

Color images and BPZ results
Catalog: 5889.cat
Black segments are analyzed here.   Roll mouse over color images to view segments.
Best viewed in a wide browser window (1200 pixels or more).   Download SED & P(z) plots to view larger versions.
In P(z) plots: Yellow lines mark the cluster redshift z = 0.228,  

Object #5889   x,y = (3414, 1511)   RA, Dec = (06:03:09.216, 42:14:48.48) = (90.78840, 42.24680)   BPZ = 1.728 [0.639--2.629]   type = 11.00 (SB11_A_0_l)   stellarity = 0.08   chisq2 = 9.11   ODDS = 0.27   z_cluster = 0.228