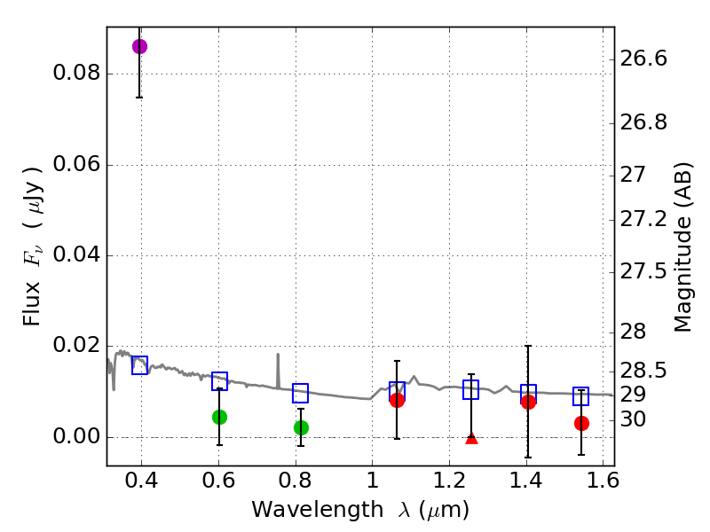
RXS0603+42-N IR detection object #5727

Color images and BPZ results
Catalog: 5727.cat
Black segments are analyzed here.   Roll mouse over color images to view segments.
Best viewed in a wide browser window (1200 pixels or more).   Download SED & P(z) plots to view larger versions.
In P(z) plots: Yellow lines mark the cluster redshift z = 0.228,  

Object #5727   x,y = (2636, 1596)   RA, Dec = (06:03:13.416, 42:14:53.52) = (90.80590, 42.24820)   BPZ = 1.702 [0.551--2.839]   type = 11.00 (SB11_A_0_l)   stellarity = 0.37   chisq2 = 11.02   ODDS = 0.24   z_cluster = 0.228