RXS0603+42-N IR detection object #5642

Color images and BPZ results
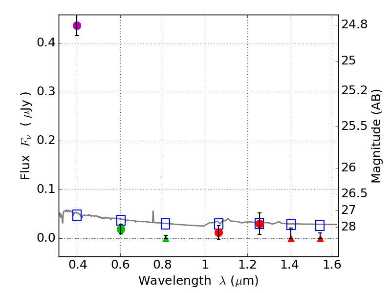
Catalog: 5642.cat
Black segments are analyzed here.   Roll mouse over color images to view segments.
Best viewed in a wide browser window (1200 pixels or more).   Download SED & P(z) plots to view larger versions.
In P(z) plots: Yellow lines mark the cluster redshift z = 0.228,  

Object #5642   x,y = (3425, 1626)   RA, Dec = (06:03:09.144, 42:14:55.32) = (90.78810, 42.24870)   BPZ = 1.700 [1.451--1.998]   type = 11.00 (SB11_A_0_l)   stellarity = 0.75   chisq2 = 86.93   ODDS = 0.68   z_cluster = 0.228