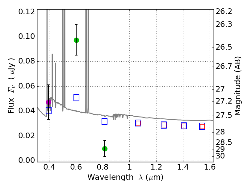
RXS0603+42-N IR detection object #5590

Color images and BPZ results
Catalog: 5590.cat
Black segments are analyzed here.   Roll mouse over color images to view segments.
Best viewed in a wide browser window (1200 pixels or more).   Download SED & P(z) plots to view larger versions.
In P(z) plots: Yellow lines mark the cluster redshift z = 0.228,  

Object #5590   x,y = (4149, 1640)   RA, Dec = (06:03:05.232, 42:14:56.04) = (90.77180, 42.24890)   BPZ = 0.027 [0.028--2.766]   type = 11.00 (SB11_A_0_l)   stellarity = 0.42   chisq2 = 22.60   ODDS = 0.05   z_cluster = 0.228