RXS0603+42-N IR detection object #5313

Color images and BPZ results
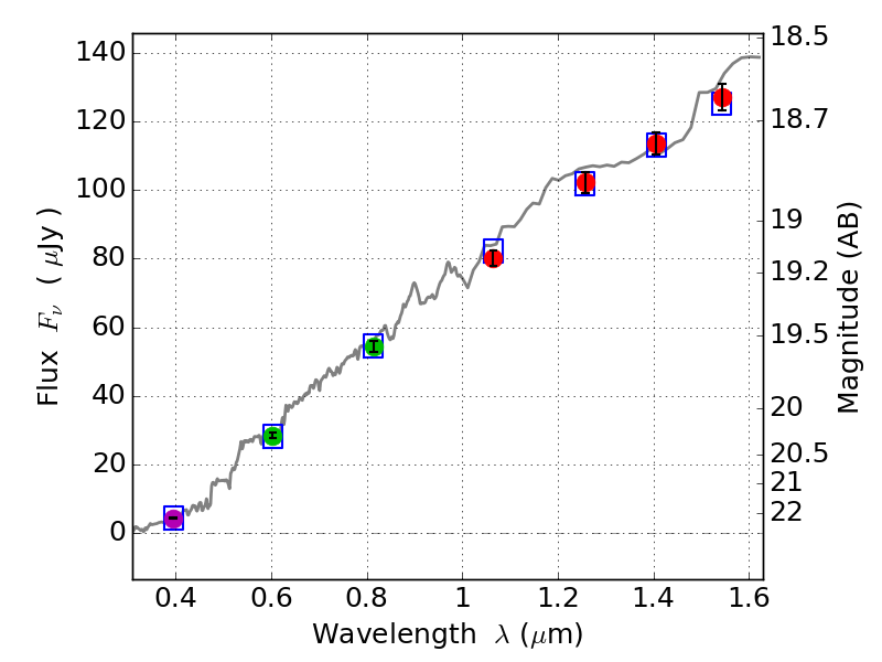
Catalog: 5313.cat
Black segments are analyzed here.   Roll mouse over color images to view segments.
Best viewed in a wide browser window (1200 pixels or more).   Download SED & P(z) plots to view larger versions.
In P(z) plots: Yellow lines mark the cluster redshift z = 0.228,  

Object #5313   x,y = (2116, 1706)   RA, Dec = (06:03:16.224, 42:15:00.00) = (90.81760, 42.25000)   BPZ = 0.192 [0.156--0.239]   type = 4.70 (ES0_B10 - Ell4_A_0)   stellarity = 0.03   chisq2 = 0.03   ODDS = 0.97   z_cluster = 0.228