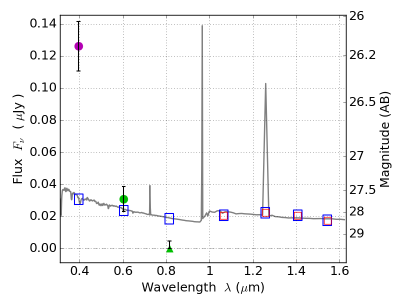
RXS0603+42-N IR detection object #5307

Color images and BPZ results
Catalog: 5307.cat
Black segments are analyzed here.   Roll mouse over color images to view segments.
Best viewed in a wide browser window (1200 pixels or more).   Download SED & P(z) plots to view larger versions.
In P(z) plots: Yellow lines mark the cluster redshift z = 0.228,  

Object #5307   x,y = (1389, 1721)   RA, Dec = (06:03:20.160, 42:15:01.08) = (90.83400, 42.25030)   BPZ = 1.595 [1.216--2.292]   type = 11.00 (SB11_A_0_l)   stellarity = 0.60   chisq2 = 50.51   ODDS = 0.31   z_cluster = 0.228