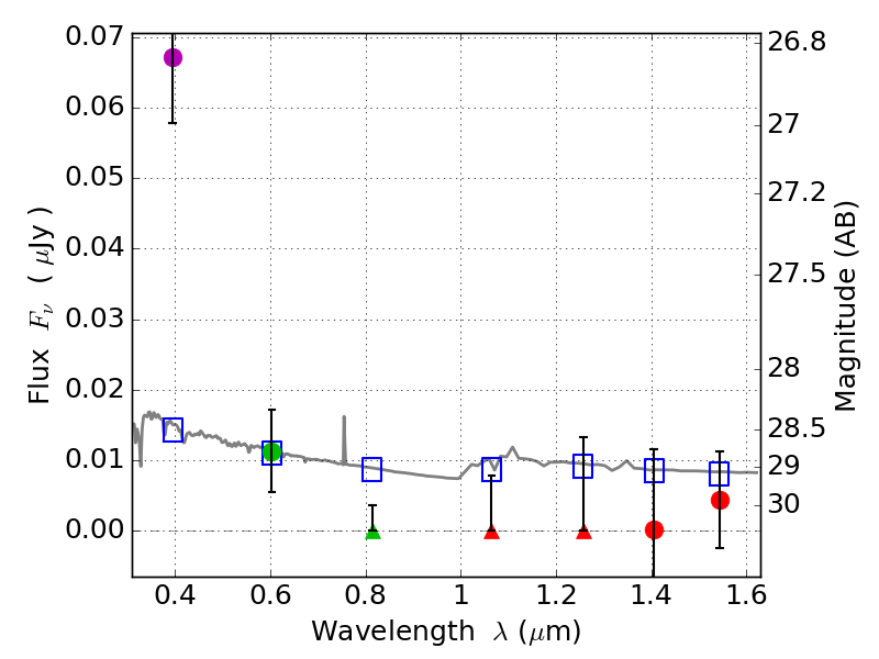
RXS0603+42-N IR detection object #5302

Color images and BPZ results
Catalog: 5302.cat
Black segments are analyzed here.   Roll mouse over color images to view segments.
Best viewed in a wide browser window (1200 pixels or more).   Download SED & P(z) plots to view larger versions.
In P(z) plots: Yellow lines mark the cluster redshift z = 0.228,  

Object #5302   x,y = (1901, 1723)   RA, Dec = (06:03:17.376, 42:15:01.08) = (90.82240, 42.25030)   BPZ = 1.700 [0.586--2.727]   type = 11.00 (SB11_A_0_l)   stellarity = 0.54   chisq2 = 9.71   ODDS = 0.24   z_cluster = 0.228