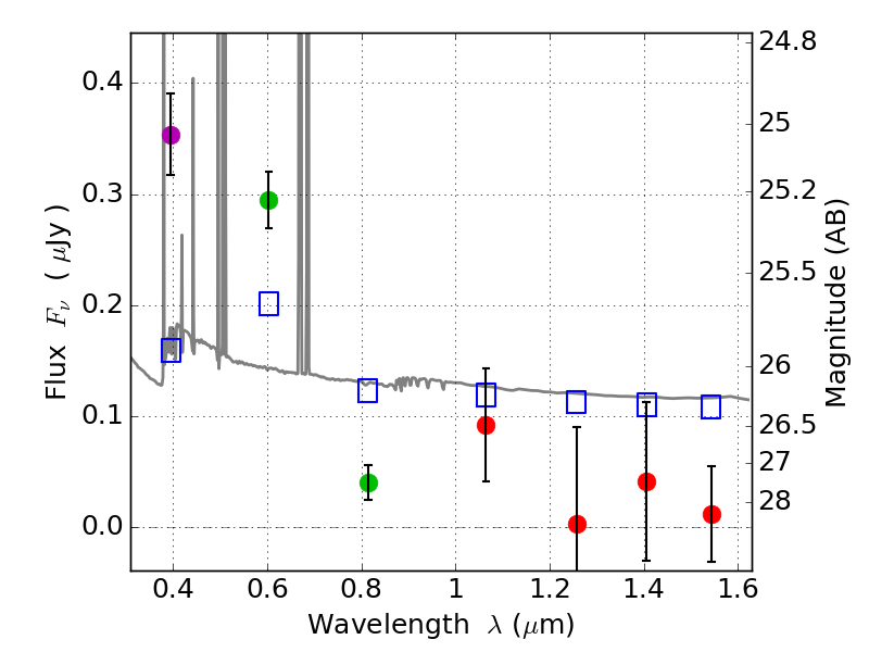
RXS0603+42-N IR detection object #5133

Color images and BPZ results
Catalog: 5133.cat
Black segments are analyzed here.   Roll mouse over color images to view segments.
Best viewed in a wide browser window (1200 pixels or more).   Download SED & P(z) plots to view larger versions.
In P(z) plots: Yellow lines mark the cluster redshift z = 0.228,  

Object #5133   x,y = (4083, 1755)   RA, Dec = (06:03:05.592, 42:15:02.88) = (90.77330, 42.25080)   BPZ = 0.020 [0.013--2.038]   type = 11.00 (SB11_A_0_l)   stellarity = 0.05   chisq2 = 14.72   ODDS = 0.19   z_cluster = 0.228