RXS0603+42-N IR detection object #5117

Color images and BPZ results
Catalog: 5117.cat
Black segments are analyzed here.   Roll mouse over color images to view segments.
Best viewed in a wide browser window (1200 pixels or more).   Download SED & P(z) plots to view larger versions.
In P(z) plots: Yellow lines mark the cluster redshift z = 0.228,  

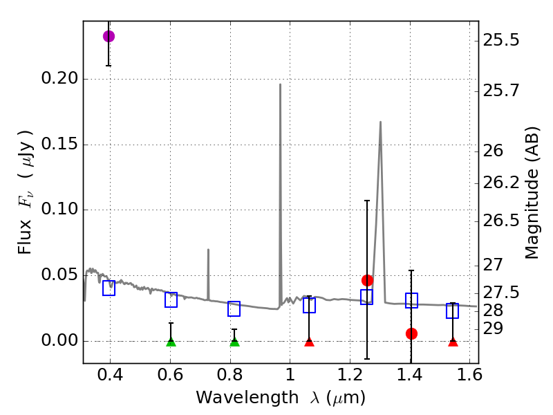
Object #5117   x,y = (4070, 1734)   RA, Dec = (06:03:05.664, 42:15:01.80) = (90.77360, 42.25050)   BPZ = 1.600 [0.867--2.310]   type = 11.00 (SB11_A_0_l)   stellarity = 0.07   chisq2 = 20.60   ODDS = 0.28   z_cluster = 0.228